




2025-03-21
标准曲线的制作
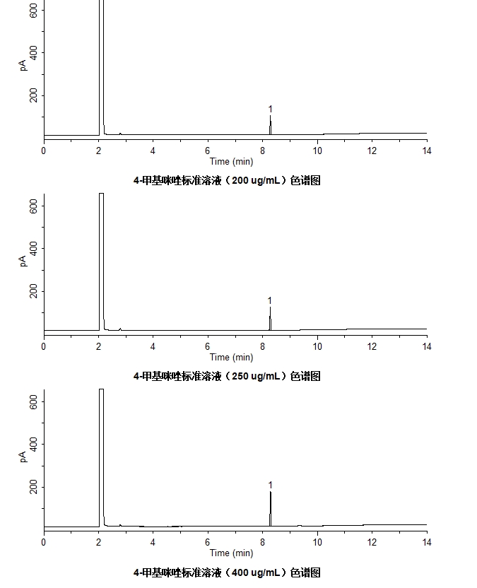
标准系列工作液:量取1.0 mL、1.5 mL、2.0 mL、2.5 mL、3.0 mL、3.5 mL、4.0 mL及5.0 mL 4-甲基咪唑标准储备溶液1000 ug/mL,分别置于10 mL容量瓶中,用丙酮稀释到刻度,混匀,制得浓度分别为100 μg/mL、150 μg/mL、200 μg/mL、250 μg/mL、300 μg/mL、350 μg/mL、400μg/mL及500 μg/mL的4-甲基咪唑标准溶液。
将标准系列工作液分别注入气相色谱仪中,测定相应物质的峰面积,以标准系列工作液中该物质的
浓度为横坐标,以该物质峰面积的响应值为纵坐标,绘制标准曲线。
样品图谱
.png)
.png)
.png)
.png)


精品推荐



